Yếu tố nào tác động tới giá Sơn epoxy 2 thành phần

Yếu tố nào tác động tới giá Sơn epoxy 2 thành phần

Sơn epoxy 2 thành phần được nhiều khách hàng và chủ đầu tư tin dùng bởi chất lượng tốt và đem lại tính thẩm mỹ cao cho công trình. Một trong những vấn đề khiến nhiều chủ đầu tư băn khoăn khi chọn mua sơn epoxy là giá sơn 2 thành phần  đắt hay rẻ. Để giúp khách hàng giải đáp thắc mắc trên, Tín Phát xin chia sẻ những thông tin chi tiết về dòng sơn này giúp bạn nắm được giá sơn epoxy chính xác nhất.

Cấu tạo trong sơn epoxy 2 thành phần

Sơn 2 thành phần là gì? Sơn epoxy 2 thành phần có cấu tạo từ thành phần A (phần sơn) và B (chất đóng rắn). Theo tiêu chuẩn quy định trong mỗi thùng sơn, hai thành phần này sẽ được sản xuất và đóng gói riêng biệt. 

Hai thành phần trong sơn epoxy đều có chức năng riêng. Trong đó, thành phần A có tác dụng che khuyết điểm và chứa các hạt tạo màu có tác dụng làm tăng tính thẩm mỹ cho công trình. Thành phần B có vai trò tạo sự chắc chắn và tăng hiệu quả chịu lực cho nền nhà.

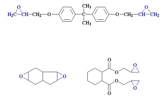
Công thức hóa học của sơn Epoxy 2 thành phần

Công thức hóa học của sơn Epoxy 2 thành phần

Ưu và nhược điểm của sơn epoxy 2 thành phần

Nắm được những ưu – nhược điểm của sơn epoxy 2 thành phần sẽ giúp khách hàng có cái nhìn chi tiết hơn khi lựa chọn dòng sơn cũng như giá sơn 2 thành phần phù hợp với công trình của mình. 

Ưu điểm

– Sơn epoxy 2 thành phần có thể chịu nhiệt lên tới 120 độ C.

– Dòng sơn này đem lại khả năng chịu kiềm và chịu hoá chất cực kỳ tốt, hạn chế ăn mòn tối đa cho bề mặt sàn.

– Sử dụng sơn epoxy 2 thành phần giúp bề mặt sàn chịu được tải trọng lớn, có tính bền và ổn định. 

– Đây là loại sơn rất thân thiện với môi trường và đảm bảo an toàn cho người sử dụng.

– Bảng màu sơn 2 thành phần có sự đa dạng, giúp chủ đầu tư lựa chọn được màu sắc theo sở thích, hợp phong thủy.

Nhược điểm

– Vì đây là sơn hai thành phần nên phải đảm bảo tỷ lệ trộn đúng theo tiêu chuẩn để đảm bảo chất lượng sơn tốt nhất.

– Quá trình thi công đòi hỏi thợ phải có tay nghề cao, có hiểu biết và am hiểu về sơn epoxy 2 thành phần.

– Quá trình sơn đông cứng phụ thuộc vào nhiệt độ. Do vậy môi trường thi công rất quan trọng, phải đảm bảo đủ nhiệt độ thì mới đem lại hiệu quả sử dụng như mong đợi.

– Sơn 2 thành phần có khả năng chống tia UV thấp, dễ bị phân hoá dưới ánh sáng mặt trời.

– Mùi sơn có thể dẫn đến khó chịu, một vài trường hợp gây dị ứng.

Bảng màu sơn Epoxy 2 thành phần

Bảng màu sơn Epoxy 2 thành phần

Những yếu tố ảnh hưởng đến báo giá sơn 2 thành phần

Báo giá sơn 2 thành phần được định giá dựa trên các tiêu chí như loại sơn epoxy, vị trí thi công, chất lượng bề mặt,…

Giá sơn 2 thành phần phụ thuộc vào trọng tải lên trên mặt sàn

Trong trường hợp tải trọng của bề mặt càng lớn thì yêu cầu lớp sơn phải có độ dày phù hợp. Chính vì vậy mà giá sơn hai thành phần cũng sẽ cao hơn so với những bề mặt sơn mỏng.

Chất lượng bề mặt định lăn sơn ảnh hưởng tới giá sơn epoxy

Chất lượng bề mặt định lăn sơn quyết định độ số lượng về vật tư và công nhân. Không phải bề mặt nào cũng giống nhau nên tùy vào đặc điểm và hiện trạng bề mặt sàn mới có thể để định giá sơn 2 thành phần chính xác là bao nhiêu.

Vị trí thi công quyết định tới báo giá sơn epoxy

Vị trí thi công cũng có ảnh hưởng không nhỏ tới giá sơn epoxy 2 thành phần. Vị trí thi công sẽ xác định được chi phí cho việc đi lại, ăn ở cho thợ thi công. Ví dụ như nếu địa chỉ thi công ở gần với nhà thầu, đơn vị thi công thì chắc chắn báo giá sẽ rẻ hơn so với những địa điểm ở xa. Chính vì vậy mà việc lựa chọn đơn vị thi công chất lượng, uy tín là điều cực kỳ quan trọng cho chủ đầu tư.

Chủng loại sơn tác động tới giá sơn 2 thành phần

Sơn epoxy có phân loại sản phẩm rất đa dạng. Vì thế mà các loại sơn 2 thành phần cũng sẽ có nhiều mức giá khác nhau, đảm bảo nhu cầu sử dụng sản phẩm từ bình dân đến cao cấp cho khách hàng. Chính vì vậy, để được báo giá sơn 2 thành phần chính xác, bạn cần tham khảo và xác định mức giá của các dòng sơn định dùng để đưa ra lựa chọn phù hợp nhất.

Chi tiết từng bước thi công sơn epoxy 2 thành phần

Dưới đây là những bước thi công sơn epoxy 2 thành phần cơ bản mà quý khách hàng có thể tham khảo:

Mài sàn để tạo nhám và chân bám

Bước này có vai trò rất quan trọng trong việc quyết định đến độ bám và chất lượng của sơn epoxy 2 thành phần với bề mặt sàn.

Vệ sinh kỹ bề mặt sàn

Tiến hành vệ sinh sạch sẽ bề mặt sàn bê tông bằng máy hút bụi công nghiệp cùng các dụng cụ chuyên dụng. Bước này giúp đảm bảo sàn bê tông được sạch sẽ, tạo điều kiện thuận lợi cho việc thi công chất lượng và có thẩm mỹ nhất.

Thi công sơn lót

Thi công sơn lót có tác dụng tạo độ kết dính giữa bề mặt sàn và sơn. Ngoài ra còn có thể ngăn ngừa sự thẩm thấu của nước và hoá chất đổ xuống sàn. 

Kiểm tra và xử lý khuyết điểm

Trong trường hợp sàn có các khe nứt, lỗ nhỏ li ti trên bề mặt thì cần xử lý bằng bả vá chuyên dụng để bề mặt sàn có độ phẳng đẹp, không bị lồi lõm.

Thi công lớp sơn thứ 1

 

Tiến hành trộn sơn theo đúng tỷ lệ mà nhà sản xuất hướng dẫn. Sau đó dùng rulo lăn đều sơn lên bề mặt. Chờ đợi lớp sơn khô từ 2-3 tiếng là có thể sơn lớp tiếp theo.

Thi công lớp sơn thứ 2

Kiểm tra và vệ sinh sạch sẽ bề mặt sàn trước khi thi công lớp sơn hoàn thiện. Sau khi sơn xong lớp thứ 2, bạn cần chờ khoảng 1 ngày là có thể đi lại. Xe cộ sau 72 giờ là có thể di chuyển và hoạt động trên bề mặt sàn.

 

Với những chia sẻ về giá sơn 2 thành phần mà Tín Phát đã trình bày trên đây, hy vọng rằng bạn đã nắm được nhiều thông tin hữu ích khi tìm hiểu và xác định mua dòng sơn epoxy phù hợp cho dự án của mình. Để được tư vấn và báo giá cụ thể về sơn epoxy chính hãng, bạn có thể để lại thông tin liên lạc tại HOTLINE 0981.473.638 hoặc Website: www.sonsanepoxy.vn. Tín Phát sẵn sàng hỗ trợ và giải đáp mọi thông tin của quý khách hàng.

Đánh giá !!!

Tin liên quan

Thi công sơn kẻ vạch đường Thi công sơn kẻ vạch đường giao thông giá rẻ tại Hà Nội

Sơn kẻ vạch giao thông thường bao gồm nhiều loại như: vạch chỉ mép đường, vạch phân tách làn xe cùng chiều hoặc ngược chiều, vạch dành cho người đi bộ, mũi tên chỉ hướng di chuyển… Hơn 15 năm thi công sơn kẻ vạch, Tín Phát thấy rằng, điều mà nhiều người quan tâm […]

Xem chi tiết
định mức sơn epoxy 1 thùng sơn epoxy sơn được bao nhiêu m2? định mức sơn epoxy

Định mức sơn epoxy chính là lượng sơn (tính theo Kg hoặc lít) để thi công một lớp sơn 1m2 diện tích bề mặt sàn nhà xưởng. Tùy thuộc vào nhà sản xuất sẽ có định mức khác nhau đối với từng loại sơn. Ví dụ: định mức sơn phủ epoxy Red Japan 0.2Kg/m2, nghĩa […]

Xem chi tiết
son-nen-epoxy-nha-xuong-2 Quy trình thi công sơn nền Epoxy nhà xưởng của Tín Phát 

Sơn nền Epoxy nhà xưởng là loại sơn phủ cao cấp, có độ bám dính cực tốt. Tuy nhiên, để đảm bảo chất lượng sàn cao nhất thì quy trình thi công sơn cũng cần được lưu ý. Và tất cả những gì bạn cần sẽ có trong vài viết này của Tín Phát.   Có […]

Xem chi tiết
son-san-nha-xuong-2 Thi công sơn sàn nhà xưởng, kho hàng uy tín 2022

Nhà xưởng là nơi thường xuyên diễn ra các hoạt động của máy móc, thiết bị, xe cộ di chuyển nhiều và kéo dài. Vậy làm sao để đảm bảo độ an toàn cho công nhân, máy móc vừa đảm bảo bề mặt sàn nhà xưởng chịu được tải trọng, chịu mài mòn tốt và […]

Xem chi tiết
son-chong-tham-2 Sơn chống thấm trần nhà, bể nước, hồ bơi tốt nhất 

Sơn epoxy hiện nay có nhiều ưu điểm trong và được ứng dụng rộng rãi trong thực tế. Trong đó, khả năng chống thấm đặc biệt được người dùng quan tâm. Hôm nay, Tín Phát sẽ chia sẻ ngay cho các bạn về mẫu sơn chống thấm uy tín, chất lượng nhất.  Sơn chống thấm Epoxy  […]

Xem chi tiết
son-nen-epoxy-tu-san-phang-2 Sơn nền Epoxy tự san phẳng có tốt không? Thi công sơn Epoxy uy tín 

Chất lượng cao, công năng tốt, tiết kiệm chi phí tối đa đều là những ưu điểm của sơn nền Epoxy tự san phẳng. Vậy cụ thể ưu nhược điểm của sản phẩm sơn phủ này như thế nào? Cần lưu ý gì khi thi công? Mời các bạn hãy cùng theo dõi ngay bài […]

Xem chi tiết
HÀ NỘI 0981473638 TP.HCM 0981238808